
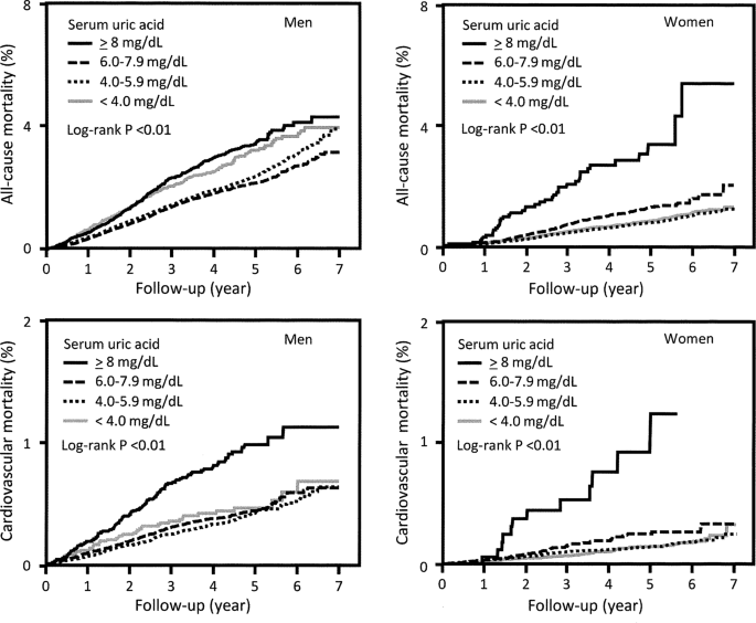
Association Between Serum Uric Acid Levels And Mortality A Nationwide Community Based Cohort Study Scientific Reports
Serum Uric Acid Levels In Patients With Parkinson S Disease A Meta Analysis

Uric Acid Level Is Associated With Severity Of Heart Failure With Preserved Ejection Fraction Acr Meeting Abstracts

Inadequate Uric Acid Referent Values May Cause Hyperuricemia And Overtreatment
The 4 Stages Of Gout And Preventing Disease Progression

Age Specific Serum Uric Acid Level And Prevalence Of Hyperuricemia Download Scientific Diagram
High Uric Acid Levels Benefit Women S Lungs I Eurekalert

The Role Of Uric Acid In Preeclampsia Is Uric Acid A Causative Factor Or A Sign Of Preeclampsia Springerlink

P120 Association Of Serum Uric Acid Levels And Outcomes Of Patients With Chronic Obstructive Pulmonary Disease Thorax

Serum Uric Acid Level And Subclinical Coronary Atherosclerosis In Asymptomatic Individuals An Observational Cohort Study Atherosclerosis

Association Of Serum Uric Acid Level And Severity Of Coronary Artery Download Table